
Background:
When older MDS patients present for allo-HCT, HLA-identical sibling donors who are eligible to donate are usually the preferred choice. The age of the HLA-identical sibling donor is likely to be advanced as well. However, the choice between an older HLA-identical sibling donor and younger HLA-matched unrelated donor remains unclear.
Methods:
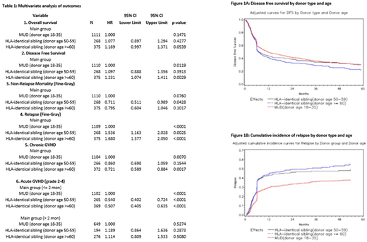
Using the center for international blood and marrow transplant research (CIBMTR) database, we identified adults aged ≥50 years with MDS who underwent allo-HCT from older HLA-identical sibling donor (age ≥50) or younger 8/8 (HLA-A, -B, -C and -DRB1) well matched unrelated donor (MUD) (age ≤ 35) between the years 2011-2017. In prior studies, compared to older MUD, allo-HCT from MUD younger than age 35 was associated with superior outcomes (Shaw BE et al. BBMT 2018, Kollman C et al. Blood 2016, CIBMTR internal data). Hence, in the current analysis, the MUD arm was restricted to those aged ≤35. Key exclusion criteria were allo-HCT from mismatched unrelated donor, haploidentical donor, cord blood donor and ex-vivo T-cell depleted grafts. Overall survival (OS), disease free survival (DFS), non-relapse mortality (NRM), relapse, acute and chronic graft versus host disease (GVHD) were evaluated. Survival analysis was done using Kaplan-Meier method and significant predictors were evaluated using Cox-proportional hazard regression method. Multivariate regression model included main effect (donor age group) and covariates (patient age, gender match, CMV match, disease subtype, R-IPSS at HCT, comorbidities score (HCT-CI), Karnofsky performance status, prior therapy, interval between diagnosis and transplant, conditioning intensity, stem cell source, GVHD prophylaxis, ATG/campath use, transplant year, and center affect). Fine and Gray (F-G) model for competing risks was used for analysis of NRM and relapse.
Results:
Of 1761 patients who met the study criteria, 646 patients received allo-HCT from older HLA-identical sibling and 1115 patients from younger MUD. Cohorts were similar for age, sex, Karnofsky performance status, HCT-CI, R-IPSS at HCT, time from diagnosis to transplant, prior therapy, graft type and conditioning intensity. Notable differences between donor groups included donor age (HLA identical sibling donor- median age 61.3 years vs. MUD- median age 25.2 years) and use of ATG/campath (HLA identical sibling donor 14% vs MUD 37%). In multivariable analysis, there was a significant difference in DFS (p=0.01) but not OS (p=0.14) among donor groups. Compared to MUD ≤35 years, DFS was inferior in HLA identical sibling donor age ≥60 but not in HLA-identical sibling donor age 50-59 (Table 1) (Figure 1A). In multivariate analysis using Fine and Gray model, the risk of relapse was significantly higher in patients receiving allo-HCT from HLA-identical sibling donor compared to MUD≤35 (Table 1, figure 1B). There was no significant difference in NRM between HLA-identical sibling donors and MUD ≤35 (overall p=0.07, table 1). HLA-identical sibling donor cohort was associated with lower risk of acute GVHD (p<0.001) and chronic GVHD (overall p=0.007) as compared to MUD ≤35 cohort (table 1). Results were consistent across all subgroups.
Conclusions:
Our results demonstrate a superior DFS that is mediated by superior disease control for MDS patients undergoing allo-HCT from younger MUD compared to older HLA-identical sibling donors. Our results should inform donor selection algorithms for older MDS patients undergoing allo-HCT.
Nakamura:Alexion: Other: Support on a meeting presentation; Kadmon Corporation: Other: Advisory board meeting; Kyowa-Kirin: Other: Support on a meeting presentation; Merck: Other: advisory board meeting; Magenta Therapeutics: Other: Advisory board meeting; Viracor: Consultancy; Celgene: Other: Support on seminar; NapaJen Pharma: Consultancy. Oran:Celgene: Consultancy; ASTEX: Research Funding; Arog Pharmaceuticals: Research Funding. Scott:BMS, Novartis: Research Funding; Alexion, Incyte, Novartis, Regeneron: Consultancy; Agios, BMS: Honoraria.
Author notes
Asterisk with author names denotes non-ASH members.

This icon denotes a clinically relevant abstract
